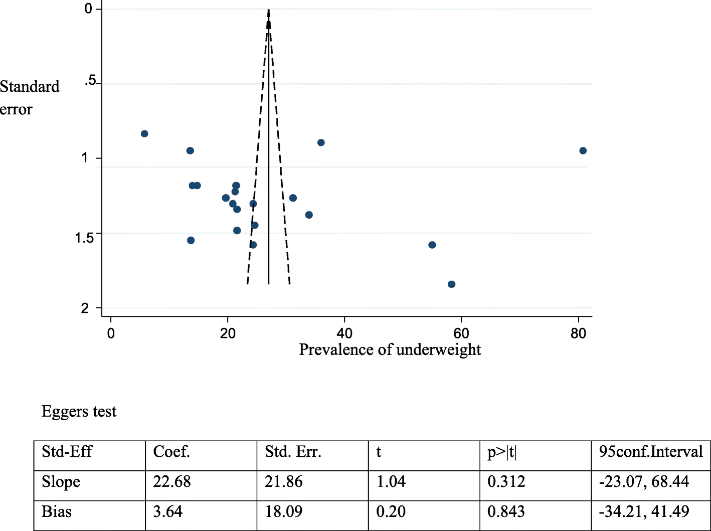
Fig. 8From: Prevalence and associated factors of adolescent undernutrition in Ethiopia: a systematic review and meta-analysisFunnel plot and Egger test to assess publication bias for adolescent underweight in Ethiopia, 2017Back to article page